壓縮機制冷量常見三種計算方法
按理論輸氣量計算
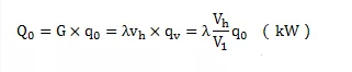
活塞式制冷壓縮機計算工況下的制冷量Q為:
式中:q0是制冷劑在計算工況下的單位質量制冷量(kJ/kg)。qv是制冷劑在計算工況下的單位容積制冷量(kJ/m3)。

q0及qv可根據循環的熱力計算得出。所以只要知道壓縮機的理論輸氣量Vh及輸氣系數λ,就可以計算出壓縮機的制冷量。對于一臺制冷壓縮機,當使用某一種制冷劑時,其制冷量隨著工況的不同而變化。因為工況改變時,壓縮機的輸氣系數λ和制冷劑的單位容積制冷量qv都隨之而變。
按特性曲線確定
每一種型號的壓縮機通常都由制造廠家通過試驗繪出其性能曲線,表示出在不同冷凝溫度tk下,制冷量Q0、軸功率Ne與蒸發溫度to之間的關系。因此在壓縮機型號確定以后,可以根據設計工況,在其性能曲線圖上査查得該工況下的制冷量。
按冷量換算公式計算
由于同一臺壓縮機只要轉速不變,盡管工況不同,其理論輸氣量也是不變的。因此可得:

式中:Q λ q分別為空調工況(標準工況)與設計工況下的制冷量、輸氣系數、單位容積制冷量。這樣如果已知壓縮機標準工況或空調工況的制冷量,即可以按照上述公式換算出設計工況下的制冷量。
更多有關制冷的相關資訊,請登錄銀海松官網m.sdzqht.com查看,或者撥打電話010-66531607來向銀海松的工程師咨詢。北京銀海松科技有限公司,專注工業制冷行業21年,經營銷售空調制冷壓縮機,冷庫制冷壓縮機等應用于各種工業制冷工況的谷輪壓縮機。銀海松2011年開始和艾默生環境優化技術合作,代理銷售艾默生谷輪制冷壓縮機的全系列產品,以及艾默生制冷壓縮機組和艾默生制冷配件。另外銀海松還從事制冷壓縮機組的生產制造,以及提供制冷工程的方案設計和施工,制冷設備的保養維修等服務。









微信交流 溝通更方便